Electrical engineers use water as a metaphor for electric current, and Tai Chi instructors compare chi (the life force) to water; this is a table of correspondences. Thanks to Wikipedia for the images.
electric |
electronics equation |
water metaphor |
wikipedia image | chi correspondance |
tai chi classics example |
|---|---|---|---|---|---|
| wire | I1 = I2 + I3 | pipe | ![]() |
channel | Energy is rooted in the foot, developed by the legs, directed by the waist, and manifested in the hands and fingers. |
| resistor | hair in pipe | ![]() |
tension | Never force anything | |
| inductor | turbine | ![]() |
overcoming hesitation | The more you practice, the easier it becomes. | |
| capacitor | rubber membrane | coiled spring | I am like a coiled spring; I am like a drawn bow. | ||
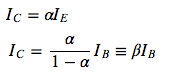
| transistor | ![]() |
pressure actuated valve | ![]() |
alternating soft flow with fa jing | two ounces can redirect 1000 pounds |
| diode | one-way valve | ![]() |
arrow of time | There's no going back. | |
| generator | pump | ![]() |
yin-yang oscillation (voltage) | first you go left, then you go right | |
| resonant frequency (LC circuit) | Everyone's Yin and Yang energy is personal and slightly different. |
Copyright 2016 by Kevin Wacknov. Other KW Sites.